中華人民共和國石油天然氣行業標準
水基壓裂液性能評價方法
Recomm ended practices on measuring the properties
of water一based fracturing fluid
目錄
前言 ··················································II
1 范圍 ·················································1
2 規范性引用文件 ············································1
3 術語和定義 ··············································1
4 儀器設備、試劑和材料 ·········································1
5 壓裂液試樣制備 ············································2
6 壓裂液性能測定方法 ··········································3
7 測定結果表············································· ·7
附錄A(資料性附錄) 旋轉粘度計選用 ····································8
附錄 B(資料性附錄) 壓裂液性能測定結果表格式 ······························ 10
前言
本標準是對SY/T 5107-1995((水基壓裂液性能評價方法》和 APIRP39:1998《交聯水基壓裂液粘性測推定薦做法》[API RP 39 Recommende practices on measuring the viscous properties of across-linked watert-based fracturin (1998年5月第3版)〕的修訂并整合成為本標準。
本標準調整了性能評價的排列順序;增加了壓裂液基液密度和pH、含膠囊破膠劑、壓裂液動態濾失損害、壓裂液對注水井和和氣井損害等測定方法。
本標準根據API RP39: 1998(第3版)有關內容對壓裂液的粘度、流變性測試進行了修訂,同時將SY/T 5107-1995中針對某具體型號儀器的敘述方法修訂為同類儀器通用方法,刪除了SY/T 5107-1995中的附錄B“旋轉粘度計與管道或裂縫中K,.n,η,值換算”,刪除了SY/T 5107-1995中的附錄C“巖心滲透率損害率測定說明”。本標準與 SY/T 5107-1995相比,章、條內容有變動。
本標準從生效之日起,同時代替SY/T 5107-1995。
本標準的附錄 A、附錄B都是資料性附錄。
本標準由采油采氣專業標準化委員會提出并歸口。
本標準起草單位:中國石油勘探開發研究院廊坊分院壓裂酸化技術服務中心。
本標準主要起草人:崔明月、陳彥東、劉萍、梁利、楊艷麗、何書琴、謝小芳。
本標準所代替標準的歷次版本發布情況為:
——SY 5107-86,SY/T 5107107-1995。
水基壓裂液性能評價方法
1 范圍
本標準規定了水基壓裂液性能測試方法。
本標準適用于油氣田水力壓裂用水基壓裂液的性能測試和評價。
2 規范性引用文件
下列文件中的條款通過本標準的引用而成為本標準的條款。凡是注日期的引用文件,其隨后所有的修改單〈(不包括勘誤的內容)或修訂版均不適用于本標準,然而,鼓勵根據本標準達成協議的各方研究是否可使用這些文件的最新版版本。凡是不注日期的引用文件,其最新版本適用于本標準。
GB/T 1884 原油和液體石油產品密度實驗室測定法(密度計法)
SY/T 5336-1996 巖心常規分析方法
SY/T 5370 表面及界面張力測定
SY/T 6074-94 植物膠及其改性產品性能測定方法
SY/T 6215-1996 壓裂用降濾失劑性能試驗方法
SY/T 6296-1997 采油用聚合物凍膠強度的測定 流變參數法
SY/T 6376-1998 壓裂液通用技術條件
SY/T 66380-1998 壓裂用破膠劑性能試驗方法
API RP 39 交聯水基壓裂液粘性測定推薦做法(1998年 5月第 3版)
3 術語和定義
下列術語和定義適用于本標準。
剪切歷史 shear history
水基壓裂液流體在測量之前((和測量過程)所經過的混合方法、剪切速率順序、剪切時間和溫度變化的過程稱為剪切歷史。
4 儀器設備、試劑和材料
4.1 藥物天平:感量0.19g;電子天平:感量0.0001g。
4.2 密度計:精度度±0.0001g/cm3。
4.3 比重瓶。
4.4 攪拌器:吳茵 (waring)混調器或同類產品。
4.5 高溫高壓同軸圓筒旋轉粘度計:RV20旋轉粘度計或同類密閉可在高溫高壓條件測試的產品(參見附錄A)。
4.6 常壓同軸圓筒旋轉粘度計:范35型或同類6速旋轉粘度計。
4.7 品氏毛細管粘度計。
4.8 控制應力流變儀:RS75或同類產品。
4.9 電熱恒溫水浴鍋:工作溫度為室溫~100℃,控溫精度:±1℃。
4.10 電熱恒溫干燥箱:工作溫度為室溫~200℃或250℃,控溫精度±1℃
4.11 高溫高壓濾失儀及配套No.988濾紙或同類產品。
4.12 動態濾失傷害儀符合SY/T 6215-1196規定的產品。
4.13 表界面張力儀:符合SY/T 5370規定的產品。
4.14 氣體滲透率測定儀:符合SY/T 53366-1996規定的產品。
4.15 高溫高壓巖心流動試驗儀。
4.16 真空泵:抽氣量為2L/s~4L/s,額定真空度為6.66X10-2Pa。
4.17 離心機:轉速為Or/min~4000r/min,配套離心管,其容量為50ml。
4.18 廣泛 pH試紙或 pH計。4.19 容量瓶、φl00G5#和;φl000G5#玻璃過濾漏斗、具塞刻度比色管。
4.20 化學試劑:氯化鉀、氯化納、氯化鎂、氯化鈣、碳酸鈉等均為化學純試劑。
4.21 精制煤油:去除水分和雜質并經過濾的煤油。
5 壓裂液試樣制備
5.1 試樣制備要求
5.1.1 應說明壓裂液名稱、各組成成分、用量、配比、加入順序、配制水、混合的時間((包括在一種或多種混調速度下的溫度和時間)、在測試之前液體的老化時間和靜置時間或者剪切歷史的要求,說明測試所需的液體體積及特殊要求。
5.1.2 由于測試目的和壓裂施工要求測試的條件不同,對壓裂液測試前準備過程的剪切歷史要求也不同,因此本標準無法規定統一的的測試前剪切歷史。一般無特別說明的,可以視為壓裂液制備后可直接測試而無需經測試前剪切歷史。
5.1.3 對于有測試前剪切歷史要求的壓裂液,可以按照施工工藝設計和井筒條件計算溫度和剪切條件來設定適宜宮的測試前剪切歷史。在不清楚應用井況條件而僅用于比較同一類型壓裂液的粘度性能時,根據API RP39:1998年(第3版)中4.1.2內容,推薦測試前剪切歷史分為兩種狀況:液體測試溫度低于93℃時,測試前剪切歷史推薦為675s-1±67.5s-1條件下剪切2.5min±10s;液體測試溫度大于或等于93℃時,測試前剪切歷史推薦為 1350s-1±135s-1條件下剪切5.Omin±10s。
5.2 基液制備
5.2.1 量取按配方需要配制壓裂液量的試驗用水,倒入攪拌器中。
5.2.2 按配方稱取所需添加劑的量,備用。
5.2.3 調節攪拌器轉速至液體形成的漩渦可以見到攪拌器漿葉中軸頂端為止。
5.2.4 按順序依次加入已稱好的添劑加,稠化劑應緩慢加入,避免形成魚眼,并時刻調整轉速以保證達 到 5.2.3的漩游渦狀態。破膠劑應在制備凍膠前加入。
5.2.5 在加完全部添加劑后持續攪拌5min,形成均勻的溶液,停停止攪拌。
5.2.6 將已配好的基液倒入燒杯中加蓋,放入恒溫30℃水浴鍋中靜置恒溫4h,使基液粘度趨于穩定。
5.3 交聯液制備
5.3.1 按配方要求直接使用液體交聯劑為交聯液。
5.3.2 按實際操作需要根據交聯比稀釋為所需濃度的交聯液。
5.3.3 按配支和交聯比要求將固體交聯劑均勻溶解為所需濃度的交聯液。
5.4 凍膠制備
5.4.1 不含膠囊破膠劑的凍膠制備方法一:針對排除空氣影響的情況使用。取5.2制備的基液倒入燒杯中,用玻璃棒攪拌液體。如需要則加入破膠劑,然后邊攪拌邊加入交聯液,直至形成能挑掛的均勻凍膠,澄免形成氣泡。
5.4.2 不含膠囊破膠劑的凍膠制備方法二:針對忽略空氣和氣泡影響的情況使用。取 5.2制備的基液倒入攪拌器中,調節攪拌器轉速,使液面形成漩渦,直至液體形成的漩渦可以見到攪拌器漿葉中軸頂端為止,使攪拌器恒速轉動。如需要則加入破膠劑,然后將交聯劑加入,直至漩渦逐漸消失為止。
5.4.3 含膠囊破膠劑的凍膠制備方法一:針對保持膠囊形態均勻分布的狀況,適用于考察膠囊破膠劑包裹程度和對壓裂液粘度保持率等試驗的凍膠壓裂液制備。膠囊破膠劑按 5.4.2方法使其均勻分布時,再加入交聯劑形成凍膠。
注:對于有些情況下,一次性配置冰膠后在測試時只能使用部分凍膠試樣時,也可以計算凍膠試樣中應含有的膠囊量,而在凍膠形成后再將膠囊加入試樣中,并在不改變剪切歷史條件下使其均勻分布。
5.4.4 含膠囊破膠劑的凍膠制備方法二:針對要求破壞膠囊形態的情況,適用于考察含有膠囊破膠劑但又不能模擬地層條件令膠囊釋放的壓裂液破膠性能等試驗的凍膠壓裂液制備。可以計算膠囊破膠劑中有效破膠劑含量,用其實際有效破膠劑代替膠囊按 5.4.2加入,計算膠囊破膠劑有效含量按SY/T 6380-1998的5.2.2執行。
6 壓裂液液性性能能源測~定方法
6.1 基液密度測定
用5.2配制的基液測定,按GB/T 1884執行。
6.2 基液 pH值
pH試紙或pH計測定5.2配制的基液的pH值。
6.3 基液表觀粘度測定
用5.2配置的基液測定,按SY/T 6074-94的6.4執行。
6.4 壓裂液交聯時間的測試
以基液400ml為準,按5.4.2制備凍膠的方法,用秒表記錄交聯劑加入混調器中直至旋渦消失液面微微突起的時間。
6.5 壓裂液耐溫能力測定
在粘度計樣品杯中加滿壓裂液后,對樣品加熱??刂粕郎厮俣葹?℃/min±0.2℃/min,從30℃開始試驗,同時轉子以剪切速率 170s-1轉動,壓裂液在加熱條件下受到連續剪切,以表觀粘度降為50mPa•S時對應的溫度表征為試樣的耐溫能力。
6.6 壓裂液耐溫耐剪切能力測定
6.6.1 在粘度計樣品杯中加滿壓裂液后,對樣品加熱??刂粕郎厮俣葹?℃/min±O.2℃/min,從30℃開始試驗,同時轉子以剪切速率170-1轉動,溫度達到要求測試的溫度后,保持剪切速率和溫度不變,直至達到要求的剪切時間為止。
注:如無特殊要求,測試溫度為壓裂液適用溫度,測試時間為壓裂裂作業施工時間。
6.6.2 用全過程取值對應的時間、溫度和表觀粘度關系來確定壓裂液耐溫耐剪切能力。
6.7壓裂液流變參數測試
6.7.1測試程序。
6.7.1.1 在粘度計樣品杯中加滿壓裂液后,對樣品加熱。同時轉子以剪切速率170s-1轉動,控制升溫速度3.0℃/min±O.2℃/min至測試試溫度溫(±0.3℃),并且在整個試驗過程中保持這個溫度。
6.7.1.2 在達到測試溫度的90%或在試驗進行20min時(無論哪個先達到),開始第一次變剪切試驗。變剪切包括從基本剪切速率170s-1階梯降低和升高的循環過程。每一個剪切速率階梯下可以剪企切10s,20s,30s或所要求的更長時間,剪切速率穩定后,記錄剪切應成力的平均值((盡管如此,變剪切應該在盡可能短的時間內完成,特別是高溫時,在變剪切過程期間確保液體不會降解)。
6.7.1.3 推薦變剪切循環階梯為 170s-1,150s-1,125s-1,l00s-1,75s-1,50s-1,25s-1,50s-1,75s-1,100s-1,125s-1,150s-1,170s-1。
注:有的儀器可能會自動將變剪切循環過程設定為無階梯連續變化,用戶應考察特定壓裂液對連續變化和階梯變剪切所得到的數據之間的差別,以決定是否使用連續變化。
6.7.1.4 在測試溫度下第一次變剪切完成后,每20min進行一次變剪切試驗。重復次數根據壓裂作業施工時間確定,兩個變剪切間以170s-1作為基本剪切。記錄每一次剪切速率值下的剪切應力。
6.7.2 K'和n'值確定。
流變參數K'和n'按假塑性冪律流體公式計算:

式中:
R----- 剪切應力,Pa;
K'---- 稠度系數,mPa·sn’;
D----- 剪切速率,s-1 ;
n ,---- 流動行為指數。
根據試驗得出的r和D值,對式 ((1)兩邊取對數得式 (2):

在雙對數坐標上作出r-D的曲線,斜率為n’,截距為K'。
流變參數應保留不同時間下測定的幾組K', n'值。如果用戶要求僅報告一組,則K', n'值為所測流動曲線K', n'值的算術平均值,也可根據工藝設計要求選取某一時間下測定的那組值。
6.8 壓裂液粘彈性測定
壓裂液粘彈性測定按SY/T 6296-1997中第6章執行。
6.9 壓裂液靜態濾失性測定
6.9.1 測試條件:測定不含支撐劑的壓裂液在一定溫度和壓力下通過濾紙的濾失性。測定溫度為壓裂液適用溫度范圍。試驗壓差為3. 5MPa,回壓按儀器要求確定。
6.9.2 測試程序:
a)加樣:在測試筒中裝入儀器規定量的壓裂液樣品,放置 2片圓形濾紙,裝好濾筒并放進加熱套內。
b)對樣品加熱、加壓:按儀器說明書,給濾筒施加初始壓力,在30min內加熱到測定溫度。
C)測試;當溫度達到測定溫度,試驗壓差為 3.5MPa,濾液開始流出,同時記錄時間、濾液的累積濾失量,精確到0.1 mL,測定時間為36min,測定過程中,溫度允許波動為±5℃ ,6.9.3 C3 ,Uc 和Qsp的確定:用壓裂液在濾紙上的濾失數據,以累積濾失量為縱坐標,以時間平方根為橫坐標,作圖。
累積濾失量與時間的平方根成線性關系。該直線段的斜率為m,截距h。當截距h小于0時,用 9min以后的數據重新回歸。受濾餅控制的濾失系數C3、濾失速度Uc和初濾失量Qsp按式 (3)~式 (5)計 算 :

Uc—— 濾失速度,m/min;
t —— 濾失時間,min;
Qsp——初濾失量,m3 /m2;
H——濾失曲線直線段與y軸的截距,cm2,
6.10 壓裂液濾液對巖心基質滲透率損害率測定
6.10.1 測定準備。
6.10.1.1 流動介質:
a)流動介質為地層水、模擬地層水或標準鹽水,煤油和氮氣。
b)流動介質選用原則:對油井用煤油作流動介質;對注水井用地層水、模擬地層水或標準鹽水作流動介質;對氣井用氮氣作流動介質。
c)標準鹽水組成:2.0%KCl+5.5%NaCl+0.45%MgC12+0.55%CaC12。
配制步驟:準確稱取KCI, NaCl, MgC12, CaCl2:加在容量瓶中用蒸餾水配制,可適當加熱、晃動,直到全部溶解。將配制好的標準鹽水用φl00G4# 玻璃過濾漏斗過濾,還需用真空泵脫氣1h,
d)精制煤油:對普通煤油用硅粉或活性白土處理,除去煤油中的水分及雜質,再用φl00G5#玻璃過濾漏斗過濾,還需用真空泵脫氣1h,
6.10.1.2 巖心:
a)最好使用在待壓裂的地層中取得的天然巖心。如果沒有,也可以使用與待壓裂地層滲透率、 孔隙度、巖性相似的其他地層或露頭巖心,或與上述巖性相似的人造巖心進行試驗。
b)天然巖心應從儲層流體流動平行的方向鉆取圓柱體,兩端面磨平,并與光滑的圓柱面相垂直。巖心直徑為25mm-25. 4mm或者37mm-38mm,巖心長度為直徑的1倍-1.5倍。巖心必須徹底洗油,巖心清洗和烘干按SY/T 5336-19%執行。
c)巖心氣體滲透率和孔隙體積測定按SY/T 5336-1996執行。
6.10.1.3 巖心飽和:用相應的流動介質飽和巖心按SY/T 5336-1996中4.1.1.2.3執行。對于測試方特別要求的,可根據儲層特征建立相應的束縛水飽和度。
6.10.1.4 壓裂液濾液收集:按6.9測定方法,適當增加濾失時間,收集足夠試驗用的壓裂液濾液。
6.10.2 巖心基質滲透率損害測定程序。
6.10.2.1 損害前巖心滲透率K1的測定:使流動介質從巖心夾持器反向端擠人巖心進行驅替,流動 介質的流速低于臨界流速。直至流量及壓差穩定,穩定時間不少于60min。注水井的流動介質應從巖心夾持器正向端入口進人巖心。
6.10.2.2 損害過程:將壓裂液濾液裝人高壓容器中,用壓力源加壓,使濾液從巖心夾持器正向端入口進人巖心。當濾液開始流出時,記錄時間、濾液的累計濾失量,精確到0.1mL。測定過程中,測定時間為36min,溫度允許波動為±5℃。擠完后,并閉夾持器兩端閥門,使濾液在巖心中停留2h, 試驗溫度為壓裂液適用溫度。
6.10.2.3 損害后巖心滲透率K2的測定:按6.10.2.1方法測定巖心受到壓裂液濾液損害后的流動介質的滲透率K2。
6.10.2.4 氣井損害巖心滲透率K1,K2的確定:天然氣生產井的巖心滲透率K1,K2均按氣體滲透率計,測定氣體滲透率按SY/T 5336-1996執行。其中K2為損害后巖心直接測定的氣體滲透率。
6.10.3 巖心滲透率K1,K2均按式 (6)計 算 :

式 中 :
K-----巖心滲透率,µm2;
Q-----流動介質的體積流量.cm3/S;
µ---- 流動介質的粘度,rnPa·s;
L---- 巖心軸向長度.cm;
P---- 巖心進出口的壓差,MPa;
A ----巖心橫截面積,cm2。
6.10.4 基質滲透率損害率按式 ((7)計算:

式 中 :
ηd----滲透率損害率,用百分數表示;
K1----巖心擠壓裂液濾液前的基質滲透率,µm2;
K2----巖心擠-裂液濾液損害后的滲透率,µm2。
6.11 壓裂液動態濾失性測定
巖心準備按 6. 10.1,測試按 SY/T 6215-1996 中6.7執行,并去掉其中6.7.4. 1擠標準鹽水過程。
注 :在氣井巖心做且僅做壓裂液動態濾失測試中,推薦將該巖心先行使用標準鹽水進行飽和以便正確取得濾失。
6.12 壓裂液動態濾失對巖心損害率測定
6.12.1 損害前巖心滲透率 K1的測定:巖心準備按 6. 10.1執行,測試按6. 10.2.1執行。對于測試方特別要求的,可根據儲層特征建立相應的束縛水飽和度,然后再對該巖心測試 K1 。
6.12.2 損害過程:在剪切歷史模擬和濾失端面符合 SY/T 6215-1996 規定的設備上,模擬壓裂施工壓裂液流經裂縫壁面的過程,使壓裂液經測試前剪切歷史模擬后流經巖心端面。壓裂液流動系統壓力巖心兩端形成3. 5MPa的濾失壓差。當建立穩定濾失壓差或有液體流出時,開始記錄時間、累計濾液的濾失量,精確到0.1mL。測定時間為36min,溫度允許波動為±5℃。擠完后,關閉夾持器兩端閥門,使濾液在巖心中停留2h。試驗溫度為壓裂液適用溫度。
6.12.3 損害后巖心滲透率K2的測定:測試按6.10.2.3執行,對于天然氣生產井損害率測定,K2的測定按 6.10.2.4執行。
6.12.4 巖心滲透率 K1,K2的確定按 6.10.3執行。
6.12.5 動態濾失滲透率損害率的確定按6.10.4執行。
6.13 壓裂液破膠性能測定
將壓裂液裝入密閉容器內,放入電熱恒溫器中加熱恒溫,恒溫溫度為儲層溫度。使壓裂液在恒溫溫度下破膠。按配方提供時間或施工工藝設計要求時間,取破膠液上面的清液測定粘度。
6.13.1 破膠液粘度測定:用毛細管粘度計測定破膠液粘度,測定溫度分別選取儲層溫度、30℃或等于井口出油溫度進行。儲層溫度高于100℃時,測定破膠液的溫度選取為 95℃。
注:使用比重瓶測試破膠液的密度,可使破膠液的粘度在運動粘度和動力粘度間換算。
6.13.2 破膠液表面、界面張力測定:以煤油和破膠液清液界面作油水界面,測定界面張力。表面和界面張力測定按SY/T 5370執行。
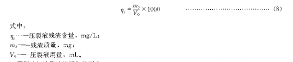
6.14 殘渣含量測定
6.14. 1 測試程序:按5:4制備凍膠壓裂液。量取定量體積V0的壓裂液,V0一般可取50m離心管滿容積的容納量 ,裝入密閉容器中加熱恒溫破膠,恒溫溫度為油層溫度,室溫測定破膠液粘度低于5mPa•s 時可以視為徹底破膠。把徹底破膠的破膠液全部移入已烘干恒量的離心管中,將離心管放入離心機內,在3000r/min±150r/min的轉速下離心 30min,然后慢慢傾倒出上層清液,再用水 50mL洗滌破膠容器后倒人離心管中,用玻璃棒攪拌洗滌殘渣樣品,再放入離心機中離心20min,傾倒上層清液,將離心管放入恒溫電熱下燥箱中烘烤,在溫度lO5OC ±10C條件下烘干至恒量,其值為 m3。
6.14.2 壓裂液殘渣含量按式 (8) 計算:

6.15 壓裂液與地層流體配伍性測定
6.15.1 破乳率測定
6.15.1.1 將原油和壓裂破膠液分別按3:1, 3:2, 1:1的體積比混合,裝入容器置于恒溫水浴鍋中,加熱恒溫,恒溫溫度為壓裂地層溫度,地層溫度大于100℃的都采用 95℃。將恒溫了的混合液體放入吳茵混調器,調節攪拌器轉速至液體形成的漩渦可以見到攪拌器漿葉中軸頂端為止。恒速攪拌時間10min,然后將液體倒人刻度比色管中,記錄實際乳狀液的體積,把裝有乳狀液的具塞刻度比色管放入恒溫水浴鍋中靜置恒溫,恒溫溫度為壓裂地層溫度,地層溫度大于100℃的都采用95℃。分別記錄時問為3min, 5min, 10min, 15min, 30min, 60min及2h, 4h, 10h, 24h分離出的破膠液體積。
6.15.1.2 乳化率和破乳率按式 (9)和式 (10)計算:

6.15.2 與地層水配伍性觀察:破膠液與地層水按 1:2. 1:1, 2:1 的體積比混合,觀察是否產生沉淀。
6.15.3 壓裂液添加劑之間配伍性觀察:將壓裂液添加劑搜配方要求順序依次加入.觀察是任產生沉淀。
6.16 壓裂液降阻率測定
6.16.1 室內測定降阻率:實驗室測定壓裂液降阻率按 SY/T 6376-1998中 6.13.1 執行
6.16.2 現場測定降阻率:現場測定壓裂液降阻率按 SY/T 6376-1998 中6.13.2 執行。
7 測定結果表
測定結果可填入附錄 B(資料性附錄)的表格中
附 錄 A
(資料性附錄)
旋 轉 粘 度 計 選 用
A. 1 常用的旋轉粘度計
在流變學研究中常用的粘度計包括:旋轉粘度計和流變儀、毛細管粘度計、控制應力流變儀、落球粘度計和狹縫流變儀。旋轉粘度計能控制輸入剪切速率,測定產生的剪切應力,一般用于研究流體的粘度性能;控制應力流變儀則能控制輸入應力,測定產生的應變,一般用于研究流體的粘彈性能.有些流變儀往往同時具備這兩種能力,如 RS75, RS600控制應力流變儀 ,而有些粘度計的測定能力相對單一,如RV20, RT30等粘度計。在壓裂液的粘度性能研究中,主要應用旋轉粘度計測定粘度、控制應力流變儀測定粘彈性和毛細管粘度計測定破膠液粘度。
旋轉粘度計可以配備同軸圓筒測量頭系統和錐板/平行板測量頭系統。通常選用同軸圓筒測量頭系統,是因為其可以測定流體在密閉和高溫高壓條件下的粘度性能,一方面可以避免壓裂液由于粘彈性造成的爬竿現象 〔威森堡效應)影響測量的進行,另一方面可以滿足壓裂液模擬現場溫度條件的測量。由于設計差別,同軸圓筒測量還可以分為Searle和Couette測定系統。Searle測量系統是外圓筒(杯)固定,內筒 (轉子)旋轉,同時通過內筒上的扭矩傳感器測定剪切應力,即馬達驅動力和扭矩檢測器都作用于同一轉子軸上,如RV20的M10一D100/300測量頭系統;Couette測定系統則是外筒 (轉杯)旋轉,內筒 (定子)連接扭矩傳感器測量剪切應力,即馬達驅動力和扭矩檢測器分別作用于轉杯和轉子軸上,如范50系列粘度計。當兩種測量系統都具有非常小的狹縫尺寸時,在內筒或外筒壁上加有相同的轉速,那么液體粘度值在環縫截面上的分布是常數,而且兩種測量系統的結果是相同的。
A. 2 影響旋轉粘度計測量的因素
影響旋轉粘度計測量結果的因素主要表現在對剪切速率的確認。對于同軸圓筒粘度計,剪切速率和3因素即內轉筒與外轉筒之間的間隙(環形狹縫半徑比)、液流位置、粘度計內壁 (會否滑移)有關。
A. 2. 1 半徑比
在同軸圓筒測量系統中,剪切速率用式 (A.1)近似計算:

但由于在同軸圓筒測量系統中狹縫R8 -Ri之間的速度梯度并不是線性的,用式 (A.1)只能計算轉子表面區域的相關剪切速率,如用以計算狹縫間任意點的剪切速率就會導致不可忽視的偏差。而且當測試壓裂液這種非牛頓流體時,速度梯度的非線性化更為嚴重。狹縫間隙越小,這種偏差越低。通常使用半徑比S表述環形狹縫的大小,用式 (A.2)計算。

一般半徑比限制范圍在1.00- 1.10 之間。因此,為了測量壓裂液這種非牛頓流體的絕對粘度,選用值小的內外筒組合是粘度計選用的最重要的質量準則。
A.2.2 液流位置
測量粘度時,按慣例轉筒壁上的切向剪切速率會被當作標準剪切速率,這剪切速率取決于轉筒的轉速和定子的面積。但在試驗中用不同的旋轉粘度計,不同的內外筒組合時,基于在內筒壁上用同一正常的剪切速率測量,測試的粘度數據可能是不可重復的。通常,窄間隙測量系統測量的結果比寬間隙測量的結果得到的粘度低。
造成粘度不同的原因除了半徑比的影響外,內筒上下接近靜止的液體塞和這個塞子循環進入間隙的能力的大小也會影響測量結果。由于小內筒有一個寬間隙,在接近靜止的液體塞的末端,交聯的液體形成較高的粘度,能夠很容易循環流入這個間隙,產生一個較高粘度。較大一點的內筒有一個小間隙,因此液體塞末端的交聯液體不容易循環流入這個間隙,產生二個較低粘度值。此差異對于工程應用也許可以忽略,但是對于更深入研究的目的和凍膠粘度測定可重復性來講,則是需要進行研究和消除的。
一般假設這個差異是非均勻流體造成的。非均勻流體既可以在滑動狀態中產生低表觀粘度,也可以在分散狀態中產生高表觀柏度。當一種凍膠流體為非均勻液體時,液體的表觀粘度是測試幾何系統的一個函數。因此 API RP 39: 1998 (第3版)附錄A基礎流變學概念中A.3介紹了以體積平均剪切速率 (VASR) 為基礎的測量交聯凍膠粘度的試驗方法。這種體積平均剪切速率可以從剪切速率的體積積分中獲得。這個體積平均剪切速率是定子面積和流體流動行為指數的一個函數。
當用不同尺寸大小的定子來測量已交聯凍膠的粘度特性時, VASR 是可計算的基本剪切速率。 因為在測試之前流體流動行為指數 (n') 是未知的,所以必須進行反復測試得到最后計算結果。通常,凍膠粘度測定可重復性的粘度測試需要2個步驟:第一,用不同內外筒組合在相同的切向剪切速率進行兩個試驗。通過在第一步試驗中獲得流體流動行為指數:(n')的值,可以判斷體積平均剪切速率。第二,通過改變杯子轉速在相同的體積平均剪切速率下再次實驗。應用體積平均剪切速率(VASR) 為基礎的測量,來測定交聯凍膠的粘度特性的試驗時,內筒大小對壓裂液粘度值的影響可能是最小的。并且當VASR 的值一定時,即使用不同大小的定子,表觀粘度的測量也是可重復的。
A.2.3 滑移校正
同軸圓筒之間的流動是穩態旋轉層流。但當發生滑移時,液體〈凍膠〉在定子表面上的速度并不是0, 這種非0流體速度(在旋轉的同-個方向)被認為是在內部定子上的一定角速度。這種定子的假旋轉將造成實際剪切速率小于由預測的杯子轉速計算的剪切速率。當滑移現象發生時,計算出來的粘度比實際液體的粘度要小。
滑移校正需要用平均半徑相同,但表面粗糙度不同的兩個定子進行對比實驗。其中一個定子的表離平滑,沿著定子表面出現滑移;另-個定子的表面粗糙,能夠有效地防止滑動,阻止形成滑動層并保持它的完整。

微信掃碼 關注我們
地址:上海市浦東新區曹路鎮金海路2588號B209 備案號:滬ICP備19046444號-1